首页
翡翠
钻石
戒指
黄金
收藏
问答
登录
注册
发布文章
二叉树期权定价模型
百科
二叉树期权定价模型(一种期权定价模型)
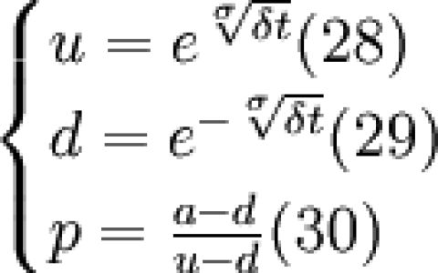
Black-Scholes期权定价模型虽然有许多优点,但是它的推导过程难以为人们所接受。在1979年,罗斯等人使用一种比较浅显的方法设计出一种期权的定价模型,称为二项式模型(Bin…
妃宫千早
2022年 11月 24日
8
0