拉氏变换即拉普拉斯变换。为简化计算而建立的实变量函数和复变量函数间的一种函数变换。对一个实变量函数作拉普拉斯变换,并在复数域中作各种运算,再将运算结果作拉普拉斯反变换来求得实数域中的相应结果,往往比直接在实数域中求出同样的结果在计算上容易得多。拉普拉斯变换的这种运算步骤对于求解线性微分方程尤为有效,它可把微分方程化为容易求解的代数方程来处理,从而使计算简化。在经典控制理论中,对控制系统的分析和综合,都是建立在拉普拉斯变换的基础上的。

简介
拉氏变换英文名为LaplaceTransform,为法国著名数学家拉普拉斯(Laplace,Pierre-Simon,marquisde)创立。主要运用于现代控制领域,和傅氏变换并称为控制理论中的两大变换。
定义
拉氏变换即拉普拉斯变换。为简化计算而建立的实变量函数和复变量函数间的一种函数变换。拉普拉斯变换的这种运算步骤对于求解线性微分方程尤为有效,它可把微分方程化为容易求解的代数方程来处理,从而使计算简化。
推导
如果定义:
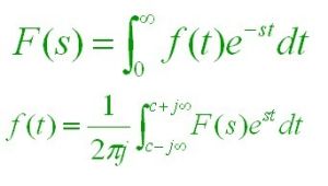
f(t),是一个关于t,的函数,使得当t<0,时候,f(t)=0,:
s,是一个复变量:
mathcal是一个运算符号,它代表对其对F象进行拉普拉斯积分int_0^inftye^,dt;F(s),是f(t),的拉普拉斯变换结果。
则f(t),的拉普拉斯变换由下列式子给出:
F(s),=mathcalleft=int_^inftyf(t),e^,dt
拉普拉斯逆变换,是已知F(s),,求解f(t),的过程。用符号mathcal^,表示。
拉普拉斯逆变换的公式是:
对于所有的t>0,:
f(t)
=mathcal^left
=fracint_^F(s),e^,ds
c,是收敛区间的横坐标值,是一个实常数且大于所有F(s),的个别点的实部值。
引入拉普拉斯变换的一个主要优点,是可采用传递函数代替微分方程来描述系统的特性。这就为采用直观和简便的图解方法来确定控制系统的整个特性(见信号流程图、动态结构图)、分析控制系统的运动过程(见奈奎斯特稳定判据、根轨迹法),以及综合控制系统的校正装置(见控制系统校正方法)提供了可能性。
用f(t)表示实变量t的一个函数,F(s)表示它的拉普拉斯变换,它是复变量s=σ+jΩ;的一个函数,其中σ和&owega;均为实变数,j2=-1。F(s)和f(t)间的关系由下面定义的积分所确定:
如果对于实部σ>σc的所有s值上述积分均存在,而对σ≤σc时积分不存在,便称σc为f(t)的收敛系数。对给定的实变量函数f(t),只有当σc为有限值时,其拉普拉斯变换F(s)才存在。习惯上,常称F(s)为f(t)的象函数,记为F(s)=L[f(t)];称f(t)为F(s)的原函数,记为ft=L-1[F(s)]。
函数变换对和运算变换性质利用定义积分,很容易建立起原函数f(t)和象函数F(s)间的变换对,以及f(t)在实数域内的运算与F(s)在复数域内的运算间的对应关系。
物理意义
拉氏变换是将时间函数f(t)变换为复变函数F(s),或作相反变换。时域(t)变量t是实数,复频域F(s)变量s是复数。变量s又称“复频率”。拉氏变换建立了时域与复频域(s域)之间的联系。s=jw,当中的j是复数单位,所以使用的是复频域。通俗的解释方法是,因为系统中有电感X=jwL、电容X=1/jwC,物理意义是,系统H(s)对不同的频率分量有不同的衰减,即这种衰减是发生在频域的,所以为了与时域区别,引入复数的运算。但是在复频域计算的形式仍然满足欧姆定理、KCL、KVL、叠加法。
逆变换
拉普拉斯变换为F(s),=mathcalleft=int_^inftyf(t),e^,dt,那么拉普拉斯逆变换,是已知F(s),,求解f(t),的过程。用符号mathcal^,表示。
拉普拉斯逆变换的公式是:对于所有的t>0,;f(t)=mathcal^left=fracint_^F(s),e^,dsc,是收敛区间的横坐标值,是一个实常数且大于所有F(s),的个别点的实部值。为简化计算而建立的实变量函数和复变量函数间的一种函数变换。对一个实变量函数作拉普拉斯变换,并在复数域中作各种运算,再将运算结果作拉普拉斯反变换来求得实数域中的相应结果,往往比直接在实数域中求出同样的结果在计算上容易得多。拉普拉斯变换的这种运算步骤对于求解线性微分方程尤为有效,它可把微分方程化为容易求解的代数方程来处理,从而使计算简化。在经典控制理论中,对控制系统的分析和综合,都是建立在拉普拉斯变换的基础上的。
引入拉普拉斯变换的一个主要优点,是可采用传递函数代替微分方程来描述系统的特性。这就为采用直观和简便的图解方法来确定控制系统的整个特性(见信号流程图、动态结构图)、分析控制系统的运动过程(见奈奎斯特稳定判据、根轨迹法),以及综合控制系统的校正装置(见控制系统校正方法)提供了可能性。
用f(t)表示实变量t的一个函数,F(s)表示它的拉普拉斯变换,它是复变量s=σ+j&owega;的一个函数,其中σ和&owega;均为实变数,j2=-1。F(s)和f(t)间的关系由下面定义的积分所确定:如果对于实部σ>σc的所有s值上述积分均存在,而对σ≤σc时积分不存在,便称σc为f(t)的收敛系数。对给定的实变量函数f(t),只有当σc为有限值时,其拉普拉斯变换F(s)才存在。习惯上,常称F(s)为f(t)的象函数,记为F(s)=L[f(t)];称f(t)为F(s)的原函数,记为ft=L-1[F(s)]。函数变换对和运算变换性质利用定义积分,很容易建立起原函数f(t)和象函数F(s)间的变换对,以及f(t)在实数域内的运算与F(s)在复数域内的运算间的对应关系。表1和表2分别列出了最常用的一些函数变换对和运算变换性质。
该文章由作者:【黄有为】发布,本站仅提供存储、如有版权、错误、违法等相关信息请联系,本站会在1个工作日内进行整改,谢谢!
