双阶乘是一个数学概念,用n!!表示。
正整数的双阶乘表示不超过这个正整数且与它有相同奇偶性的所有正整数乘积。前10个自然数(从0到9)的双阶乘分别为:1,1,2,3,8,15,48,105,384,945。

定义
双阶乘用“m!!”表示。
性质
利用初等的方法研究了包含双阶乘部分数列的无穷级数的敛散性并且得到了几个相关的结果。
当m是自然数时,表示不超过m且与m有相同奇偶性的所有正整数的乘积。如:
示例:
3!!=1*3=3
5!!=1*3*5=15
6!!=2*4*6=48
8!!=2*4*6*8=384
另0!!=1!!=1
当m是负奇数时,表示绝对值不超过它的绝对值的所有负奇数的绝对值积的倒数。如:
示例:
(-5)!!=1/(|-1|*|-3|*|-5|)=1/15
(-7)!!=1/(|-1|*|-3|*|-5|*|-7|)=1/105
(-9)!!=1/(|-1|*|-3|*|-5|*|-7|*|-9|)=1/945
另(-1)!!=1
当m是负偶数时,m!!不存在。
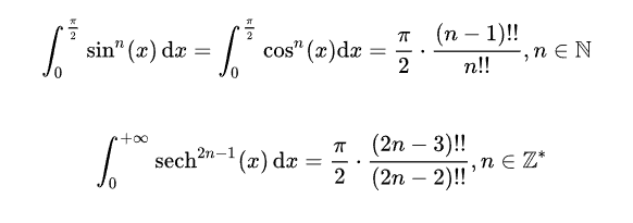
关于积分的恒等式
第二种定义下的双阶乘满足恒等式(n为偶数时):
部分双阶乘的数值
的数值 | 第一种定义下的 | 第二种定义下的 (保留三位小数) |
7 | 105 | 105 |
8 | 384 | 306.388 |
9 | 945 | 945 |
10 | 3 840 | 3 063.877 |
11 | 10 395 | 10 395 |
12 | 46 080 | 36 766.521 |
13 | 135 135 | 135 135 |
14 | 645 120 [2] | 514 731.288 |
15 | 2 027 025 [3] | 2 027 025 |
该文章由作者:【狄利克雷函数】发布,本站仅提供存储、如有版权、错误、违法等相关信息请联系,本站会在1个工作日内进行整改,谢谢!
